전기는 어렵지 않다

7. 전기를 만들어 내다? 발전은 뭐다?

hoopen 2024. 12. 3. 22:26
반응형

 

발전의 개념, 원리, 공식과 한국의 전력 구조

전기는 현대 사회를 움직이는 핵심 에너지원입니다. 이 글에서는 발전의 개념과 원리, 공식, 그리고 한국에서의 전력 생산 구조까지 쉽게 이해할 수 있도록 정리했습니다.

발전이란 무엇인가?

발전은 자연에서 얻은 에너지를 전기에너지로 변환하는 과정을 말합니다. 이 과정에서 가장 중요한 원리는 **전자기 유도(Electromagnetic Induction)**입니다. 이 원리를 통해 발전기는 전력을 생산하게 됩니다.

주요 발전원과 원리

1. 화력 발전

화석연료(석탄, 석유, 천연가스)를 연소시켜 열에너지를 만들고, 이 열로 증기를 발생시켜 터빈을 돌리는 방식입니다.

공식: 

2. 수력 발전

댐에 저장된 물이 낙하하면서 생기는 위치에너지로 터빈을 회전시키는 방식입니다.

공식:

 

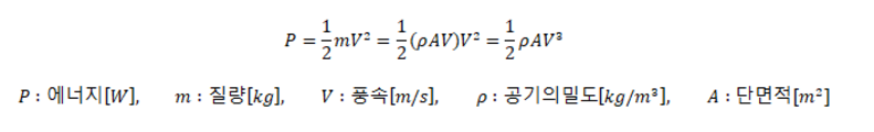
3. 풍력 발전

바람의 운동 에너지를 이용해 터빈을 돌리는 방식입니다.

발전기의 원리와 전기 생성

발전기는 **전자기 유도 법칙**을 이용해 전기를 생성합니다. 자석과 도선이 상대적으로 움직일 때 도선 내부에 유도 기전력이 발생합니다.

 

패러데이의 법칙:

 ε = -N dΦ/dt

 

  • ε (입실론): 유도 기전력
  • N: 코일의 감은 수
  • Φ (파이): 자기 선속
  • dΦ/dt: 자기 선속의 시간에 따른 변화율

이 원리에 따라 터빈의 운동 에너지가 전기에너지로 변환됩니다.

한국의 발전 구조

한국은 안정적인 전력 공급을 위해 다양한 발전원을 활용하고 있습니다. 2023년 기준, 한국의 발전 구조는 아래와 같습니다:

  • 화력 발전: 약 40%로 가장 높은 비중을 차지하며, 주로 석탄과 천연가스를 사용합니다.
  • 원자력 발전: 약 30%로, 저탄소 에너지원으로 주목받고 있습니다.
  • 재생에너지: 약 10%로, 태양광, 풍력, 바이오 에너지가 포함됩니다. 비중은 계속 증가하고 있습니다.
  • 수력 발전: 약 5%로, 규모는 작지만 안정적인 발전원입니다.

최근 한국은 탄소중립 목표를 달성하기 위해 재생에너지와 원자력 발전의 비중을 점차 확대하고 있으며, 에너지 전환 정책이 활발히 진행 중입니다.

결론

발전은 에너지 변환의 정수라고 할 수 있습니다. 화력, 수력, 풍력, 원자력 등 다양한 에너지원이 전기를 생성하며, 이를 통해 현대 문명이 유지되고 있습니다. 각 발전 방식은 고유의 원리와 효율성이 다르지만, 궁극적으로 전기 에너지를 생산하는 목적은 같습니다.

이번 글을 통해 발전의 개념과 기본 원리를 이해하셨길 바랍니다. 여러분도 이제 "전기는 어떻게 만들어질까?"라는 질문에 자신 있게 답할 수 있겠죠?

 

발전은 또한 다양한 에너지를 전기로 변환해 현대 문명을 유지하는 핵심 기술입니다. 한국은 화력과 원자력을 중심으로 한 발전 구조를 갖추고 있지만, 재생에너지 확대를 통한 지속 가능한 발전을 목표로 하고 있습니다. 이 글을 통해 발전의 원리와 구조를 이해하고, 에너지의 중요성을 다시 한번 느껴보셨길 바랍니다.

 

이번에 발전에 대해서 많이 알아보았는데, 발전이 얼마나 우리에게 중요한지 알 수 있었습니다. 다음에는 송전에 대해서 한 번 알아보도록 하겠습니다.

 

반응형